Thành phố Lào Cai dừng hoạt động 45 quán karaoke trước Tết Ất Tỵ

Sau hơn 1 năm triển khai rà soát, kiểm tra và vận động các chủ cơ sở kinh doanh karaoke trên địa bàn thành phố Lào Cai hoàn thiện các điều kiện về an toàn phòng cháy, chữa cháy (PCCC), nhưng qua kiểm tra, Công an thành phố Lào Cai đã quyết định dừng hoạt động 45 quán karaoke trước tết Nguyên đán Ất Tỵ - 2025.

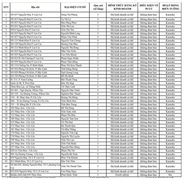
karaoklc.jpg
Danh sách 45 cơ sở kinh doanh karaoke trên địa bàn thành phố Lào Cai không đủ điều kiện PCCC phải tạm dừng hoạt động.

Theo thông tin từ Công an thành phố Lào Cai, thực hiện Kế hoạch số 40, ngày 21/1/2025 của UBND tỉnh về một số giải pháp cấp bách trong công tác phòng cháy, chữa cháy và cứu nạn, cứu hộ tại các cơ sở có nguy hiểm về cháy, nổ, địa điểm tập trung đông người dịp tết Dương lịch và tết Nguyên đán năm 2025, đơn vị đã triển khai tổng rà soát toàn bộ 52 cơ sở kinh doanh karaoke trên địa bàn thành phố. Kết quả chỉ có 7 cơ sở đảm bảo điều kiện an toàn phòng cháy, chữa cháy (PCCC), 45 cơ sở không đảm bảo điều kiện.

cong-an-t-m-d-ng.jpg
Công an thành phố Lào Cai dán thông báo tạm dừng hoạt động 1 cơ sở kinh doanh karaoke không đủ điều kiện trên địa bàn.

Theo Thượng tá Lê Thị Tám, Phó Trưởng Công an thành phố Lào Cai: Từ cuối năm 2023, Công an thành phố đã có đợt rà soát các cơ sở kinh doanh karaoke trên địa bàn và yêu cầu các cơ sở hoàn thiện điều kiện về an toàn phòng cháy, chữa cháy. Tuy nhiên, sau 4 lần đối thoại và hướng dẫn, nhiều hộ kinh doanh vẫn chưa chấp hành nên vào dịp trước tết Nguyên đán Ất Tỵ, đơn vị tiếp tục rà soát, qua đó phát hiện 45 cơ sở không đủ điều kiện nên đã lập biên bản yêu cầu dừng hoạt động.

a12.jpg
Một cơ sở kinh doanh karaoke trên đường Phùng Chí Kiên, phường Bắc Lệnh phải dừng hoạt động do chưa đảm bảo an toàn về PCCC.

“Các cơ sở phải dừng hoạt động nêu trên có nhiều hộ kinh doanh karaoke trá hình, biến tướng mà trước đây là cơ sở kinh doanh karaoke không đủ điều kiện đã dừng hoạt động hoặc các loại hình tương tự (bar, pub, lounge, hát cho nhau nghe,… ) khi chưa được các cơ quan có thẩm quyền cấp giấy phép hoạt động kinh doanh trên địa bàn thành phố Lào Cai năm 2024” - Thượng tá Lê Thị Tám cho biết thêm.

Có thể bạn quan tâm

Tin cùng chuyên mục

Mỏ Vàng nhiều giải pháp xây dựng “xã không ma túy”

Mỏ Vàng nhiều giải pháp xây dựng “xã không ma túy”

Hiện nay, tệ nạn ma túy đang có nhiều diễn biến phức tạp, đặc biệt ở khu vực nông thôn, miền núi - nơi điều kiện kinh tế - xã hội còn nhiều khó khăn. Việc chủ động xây dựng các mô hình “xã không ma túy” không chỉ là yêu cầu cấp thiết mà còn là nhiệm vụ mang tính chiến lược, lâu dài.

Kiểm tra công tác đảm bảo an ninh, trật tự phục vụ bầu cử

Kiểm tra công tác đảm bảo an ninh, trật tự phục vụ bầu cử

Ngày 11/3, tại phường Lào Cai, Đoàn công tác Công an tỉnh phối hợp cùng Sở Nội vụ tổ chức kiểm tra, hướng dẫn công tác bảo đảm an ninh, trật tự phục vụ bầu cử đại biểu Quốc hội khóa XVI và đại biểu HĐND các cấp, nhiệm kỳ 2026 - 2031, tại các phường Lào Cai, Cam Đường và hai xã Bát Xát, Bảo Thắng.

Bảo đảm an toàn tuyệt đối cuộc bầu cử

Bảo đảm an toàn tuyệt đối cuộc bầu cử

Cuộc bầu cử đại biểu Quốc hội khóa XVI và đại biểu Hội đồng nhân dân các cấp nhiệm kỳ 2026-2031 đang đến rất gần. Đây là sự kiện chính trị trọng đại, là ngày hội của toàn dân, nơi mỗi lá phiếu không chỉ thể hiện quyền làm chủ mà còn là sự gửi gắm niềm tin, trí tuệ, ý chí của cử tri vào những đại biểu xứng đáng.

Số hóa tuyên truyền vì một cộng đồng không ma túy

Số hóa tuyên truyền vì một cộng đồng không ma túy

Thời gian qua, Công an phường Trung Tâm đã triển khai đồng bộ nhiều giải pháp đẩy mạnh ứng dụng nền tảng số trong công tác tuyên truyền, phòng, chống ma túy, góp phần nâng cao nhận thức của người dân, đặc biệt là thanh thiếu niên, từng bước xây dựng địa bàn an toàn, lành mạnh ngay từ cơ sở.

Bình yên từ cơ sở

Bình yên từ cơ sở

Bình yên không đến từ mệnh lệnh hành chính mà được gìn giữ bằng sự hiện diện bền bỉ của những người gần dân, hiểu dân và vì dân. Từ mỗi thôn xóm, lực lượng tham gia bảo vệ an ninh, trật tự ở cơ sở đang lặng lẽ xây đắp thế trận an ninh nhân dân vững chắc, bắt đầu từ chính cuộc sống hằng ngày của người dân.

Nâng chất lượng dịch vụ - giữ hình ảnh điểm đến

Nâng chất lượng dịch vụ - giữ hình ảnh điểm đến

Mùa lễ hội sau Tết Nguyên đán thường thu hút đông du khách đến phường Lào Cai và Sa Pa. Chính vì vậy, sự phối hợp giữa nỗ lực nâng chuẩn của cơ sở kinh doanh và công tác kiểm tra, giám sát chặt chẽ của cơ quan chức năng đã giúp các địa phương giữ vững hình ảnh điểm đến du xuân văn minh, thân thiện và chuyên nghiệp.

Phường Sa Pa xử lý 83 trường hợp chèo kéo, bán hàng rong, ăn xin

Phường Sa Pa xử lý 83 trường hợp chèo kéo, bán hàng rong, ăn xin

Triển khai Kế hoạch số 192/KH-UBND ngày 24/11/2025 của UBND phường Sa Pa về giải quyết tình trạng chèo kéo, đeo bám, bán hàng rong, nhảy múa, ăn xin trên địa bàn Khu du lịch Quốc gia Sa Pa, các lực lượng chức năng và chính quyền cơ sở đã tăng cường kiểm tra, xử lý vi phạm, góp phần giữ gìn trật tự, mỹ quan đô thị và hình ảnh điểm đến du lịch.

Công an xã Bảo Thắng xử phạt trường hợp đăng tải thông tin kích động bạo lực trên mạng xã hội

Công an xã Bảo Thắng xử phạt trường hợp đăng tải thông tin kích động bạo lực trên mạng xã hội

Ngày 2/2/2026, Công an xã Bảo Thắng đã ra Quyết định xử phạt vi phạm hành chính đối với Triệu Văn H. (sinh năm 2008, trú tại thôn Trà Chẩu, xã Bảo Thắng) về hành vi cung cấp, chia sẻ thông tin kích động bạo lực trên mạng xã hội Facebook, đồng thời buộc gỡ bỏ toàn bộ nội dung vi phạm theo quy định của pháp luật.

Cầu nối Công an Nghĩa Lộ với Nhân dân

Cầu nối Công an Nghĩa Lộ với Nhân dân

“Gần dân nhất” là một trong ba nội dung trọng tâm của phong trào thi đua “Ba Nhất” do Bộ Công an phát động. Hưởng ứng phong trào này, Công an phường Nghĩa Lộ đã có nhiều hoạt động ý nghĩa; góp phần tạo niềm tin trong nhân dân, giữ gìn an ninh trật tự ngay từ cơ sở và xây dựng hình ảnh người chiến sĩ công an nhân dân “Vì nước quên thân, Vì dân phục vụ.”

Công an tỉnh Lào Cai phối hợp triệt phá băng nhóm lừa đảo xuyên quốc gia tại Campuchia

Công an tỉnh Lào Cai phối hợp triệt phá băng nhóm lừa đảo xuyên quốc gia tại Campuchia

Công an tỉnh Lào Cai và Cục Cảnh sát hình sự, Cơ quan đại diện Bộ Công an Việt Nam tại Vương quốc Campuchia đã phối hợp triệt phá băng nhóm tội phạm “Sử dụng mạng máy tính, mạng viễn thông, phương tiện điện tử thực hiện hành vi chiếm đoạt tài sản” hoạt động xuyên quốc gia trên không gian mạng tại Khu tự trị của người Trung Quốc, tại xã Krabau, huyện Kamchay Mear, tỉnh Prey Veng, Campuchia.

Tăng cường kiểm soát buôn bán, sử dụng pháo trong dịp Tết

Tăng cường kiểm soát buôn bán, sử dụng pháo trong dịp Tết

Dịp Tết Nguyên đán Bính Ngọ 2026 là thời điểm nhu cầu sử dụng pháo hoa của người dân tăng cao. Tuy nhiên, bên cạnh nhu cầu chính đáng, nguy cơ phát sinh các hành vi buôn bán, vận chuyển, tàng trữ và sử dụng trái phép pháo nổ vẫn tiềm ẩn nhiều yếu tố phức tạp, kéo theo rủi ro mất an ninh trật tự, tai nạn và cháy nổ trong dịp Tết.

Đồn Biên phòng cửa khẩu quốc tế Lào Cai bắt đối tượng tàng trữ trái phép chất ma túy

Đồn Biên phòng cửa khẩu quốc tế Lào Cai bắt đối tượng tàng trữ trái phép chất ma túy

Trong quá trình thực hiện nhiệm vụ tuần tra, kiểm soát bảo đảm an ninh, trật tự phục vụ Đại hội lần thứ XIV của Đảng, Tổ công tác Đồn Biên phòng cửa khẩu quốc tế Lào Cai đã kịp thời phát hiện, bắt quả tang một đối tượng có hành vi tàng trữ trái phép chất ma túy, góp phần giữ vững bình yên địa bàn biên giới.

[Infographic] Quy định mức thưởng thành tích trong đấu tranh phòng, chống tội phạm trên địa bàn tỉnh Lào Cai

[Infographic] Quy định mức thưởng thành tích trong đấu tranh phòng, chống tội phạm trên địa bàn tỉnh Lào Cai

Tại Kỳ họp thứ 6 (kỳ họp thường lệ cuối năm 2025) HĐND tỉnh Lào Cai khóa XVI, nhiệm kỳ 2021 - 2026 đã thông qua Nghị quyết số 12/2025/NQ-HĐND về Quy định mức thưởng thành tích trong đấu tranh phòng, chống tội phạm trên địa bàn tỉnh Lào Cai. Nghị quyết có hiệu lực thi hành từ ngày 1/1/2026.

Phòng chống thông tin xấu, độc trên không gian mạng

Phòng chống thông tin xấu, độc trên không gian mạng

Không gian mạng mở ra nhiều cơ hội tiếp cận thông tin song cũng có không ít những thông tin xấu, độc, xuyên tạc, sai sự thật. Trước yêu cầu bảo vệ nền tảng tư tưởng của Đảng, nâng cao “sức đề kháng” cho người dân trên môi trường mạng, Công an tỉnh Lào Cai đã triển khai nhiều giải pháp giữ gìn môi trường mạng an toàn, lành mạnh.

Xử phạt 3 trường hợp chia sẻ thông tin mê tín liên quan "Hội thánh Đức Chúa Trời Toàn Năng"

Xử phạt 3 trường hợp chia sẻ thông tin mê tín liên quan "Hội thánh Đức Chúa Trời Toàn Năng"

Ngày 15/1, Phòng An ninh nội địa (Công an tỉnh Lào Cai) đã ra Quyết định xử phạt vi phạm hành chính đối với 3 cá nhân về hành vi "Lợi dụng mạng xã hội để chia sẻ thông tin cổ súy các hủ tục, mê tín, dị đoan". Mỗi trường hợp bị xử phạt 7,5 triệu đồng theo quy định tại điểm b khoản 1, Điều 101 Nghị định số 15/2020/NĐ-CP ngày 3/2/2020 của Chính phủ.

fb yt zl tw