Nam sinh Trường THPT Chuyên Lào Cai giành học bổng toàn phần 2,8 tỷ đồng

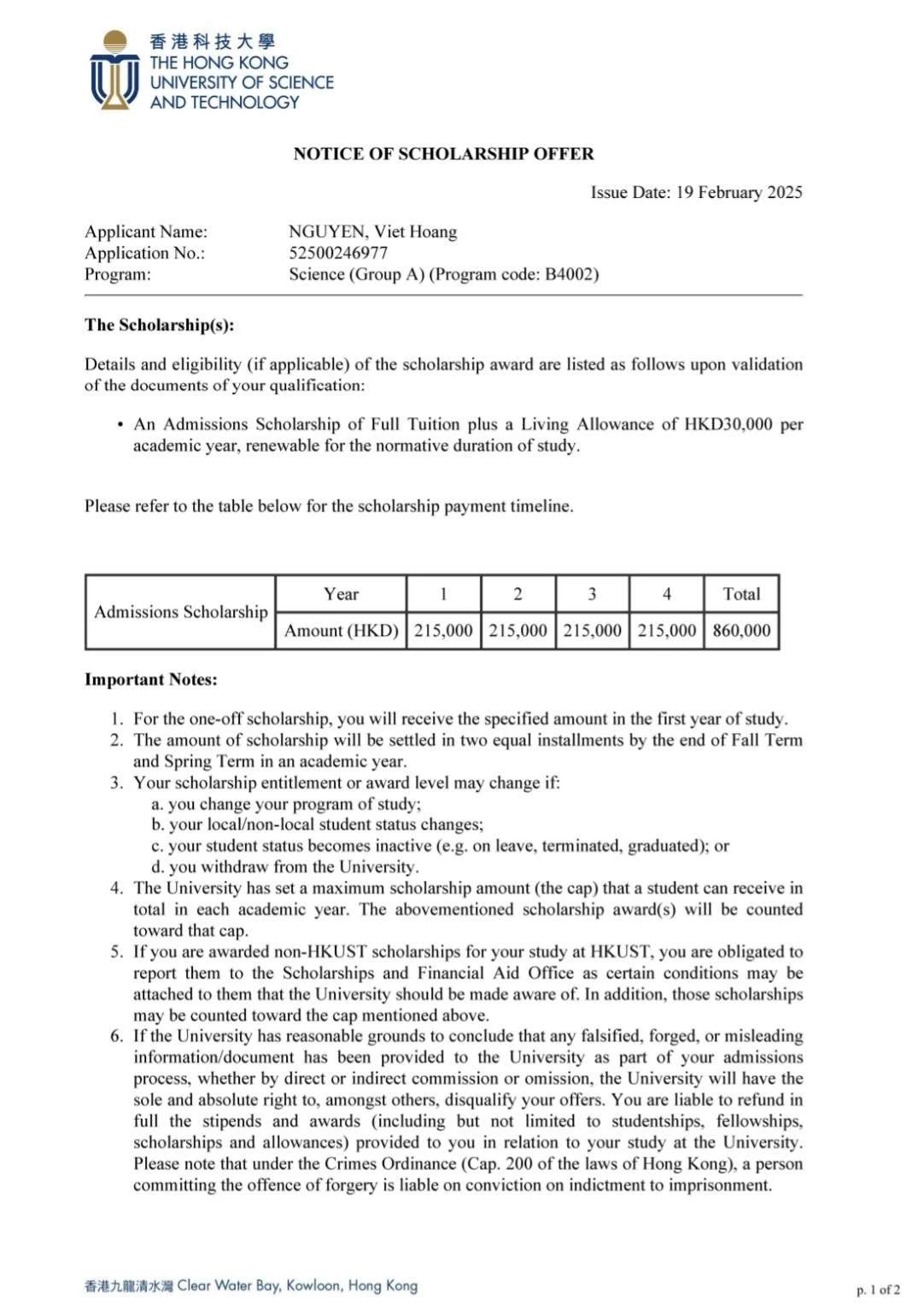
Em Nguyễn Việt Hoàng, lớp 12 Toán, Trường THPT Chuyên Lào Cai vừa nhận được thông báo cấp học bổng toàn phần của Đại học Khoa học và Công nghệ Hồng Kông (HKUST) cho 4 năm học tại trường, trị giá 2,8 tỷ đồng.

z6339490515431-622b6403ce23e770ea05c6e315be0eb2.jpg
Em Nguyễn Việt Hoàng, lớp 12 Toán, Trường THPT Chuyên Lào Cai.

Việt Hoàng cho biết, bản thân đã dành nhiều thời gian để trau dồi kiến thức và các kỹ năng để đạt được học bổng mơ ước này. Chuyên ngành mà em lựa chọn là Computer Science (Khoa học máy tính).

481002314-1036912278473614-3878305574207047558-n.jpg
Thông báo cấp học bổng của Trường Đại học Khoa học và Công nghệ Hồng Kông.

Được biết, trong suốt những năm học THPT, Hoàng liên tục đạt giải tại các cuộc thi lớn, như: giải Khuyến khích môn Toán cấp Quốc gia năm lớp 10, giải Nhì môn Toán cấp Quốc gia năm lớp 11; giải Nhất môn Toán cấp Quốc gia năm học 2024 - 2025.

Mới đây, Hoàng còn được vinh danh là "Học sinh 3 tốt" cấp Trung ương Đoàn vì có nhiều nỗ lực toàn diện về đạo đức, học tập và hoạt động phong trào.

z6339500913541-60e0170d3f4fa92a06fdbfba45fb5962.jpg
Để giành được học bổng danh giá này, Hoàng đã dành nhiều thời gian học tập và nghiên cứu.

Theo kế hoạch, Việt Hoàng sẽ chính thức nhập học vào tháng 9/2025.

HKUST là một trong những trường đại học top đầu thế giới, nổi tiếng với chất lượng đào tạo vượt trội trong lĩnh vực khoa học, công nghệ và kinh tế. Theo bảng xếp hạng QS World University Rankings (bảng xếp hạng thường niên về thứ hạng các trường đại học trên thế giới của tổ chức giáo dục Quacquarelli Symonds (QS) - Anh Quốc) năm 2024, HKUST đứng ở vị trí thứ 34 toàn cầu.

Có thể bạn quan tâm

Tin cùng chuyên mục

Để học sinh vững tin trước kỳ thi tốt nghiệp THPT

Để học sinh vững tin trước kỳ thi tốt nghiệp THPT

Khi kỳ thi tốt nghiệp THPT 2026 chỉ còn được tính bằng từng tuần, giai đoạn nước rút của học sinh lớp 12 không còn là hành trình đơn độc. Đó là sự đồng hành chặt chẽ giữa thầy cô, gia đình và trên hết là bản lĩnh của chính các em - cùng bước vào kỳ thi với tâm thế vững vàng, tự tin chinh phục cột mốc quan trọng phía trước.

Nguyễn Huy Phong – học sinh Lào Cai duy nhất được miễn thi tốt nghiệp, tuyển thẳng đại học

Nguyễn Huy Phong – học sinh Lào Cai duy nhất được miễn thi tốt nghiệp, tuyển thẳng đại học

Bộ Giáo dục và Đào tạo vừa công bố danh sách 151 học sinh đội tuyển Olympic năm 2026 được miễn thi tốt nghiệp THPT và ưu tiên xét tuyển thẳng vào đại học, cao đẳng. Trong đó, em Nguyễn Huy Phong - học sinh lớp 12 chuyên Tin, Trường THPT Chuyên Lào Cai là đại diện duy nhất của tỉnh Lào Cai góp mặt. Thành tích này giúp Phong trở thành học sinh duy nhất của tỉnh được “tốt nghiệp” sớm nhất trong năm 2026.

Thí sinh đăng ký nguyện vọng xét tuyển đại học năm 2026 từ ngày 02/7 - 14/7

Thí sinh đăng ký nguyện vọng xét tuyển đại học năm 2026 từ ngày 02/7 - 14/7

Bộ Giáo dục và Đào tạo vừa ban hành văn bản số 2304/BGDĐT-GDĐH hướng dẫn tuyển sinh đại học, tuyển sinh cao đẳng 2026, gửi các đại học, học viện, trường đại học; các trường sĩ quan có đào tạo trình độ đại học; các trường cao đẳng; các Sở Giáo dục và Đào tạo đăng kí tham gia Hệ thống xét tuyển chung. Trong đó, các thí sinh cần lưu ý một số điểm mới quan trọng từ kỳ tuyển sinh năm nay để thực hiện đăng ký nguyện vọng xét tuyển theo đúng quy định.

Nâng tầm văn hóa đọc trong kỷ nguyên số

Nâng tầm văn hóa đọc trong kỷ nguyên số

Trong bối cảnh trí tuệ nhân tạo (AI) bùng nổ, ngành thư viện và các trường học tại Lào Cai đang đẩy mạnh triển khai số hóa văn hóa đọc. Với việc triển khai các hệ sinh thái thông minh như VietBiblio hay Thư viện số 4.0, biến tri thức thành nguồn tài nguyên mở, giúp mọi công dân dễ dàng tiếp cận trong kỷ nguyên dữ liệu.

Võ Thanh Tùng - Niềm tự hào của học sinh chuyên Tin

Võ Thanh Tùng - Niềm tự hào của học sinh chuyên Tin

Xuất sắc giành giải Nhất vòng loại cuộc thi Vô địch Tin học văn phòng thế giới (MOSWC) 2026 với số điểm tuyệt đối 1000/1000, em Võ Thanh Tùng (lớp 11 chuyên Tin, Trường THPT Chuyên Nguyễn Tất Thành) đã chính thức ghi tên mình vào vòng Chung kết Quốc gia.

Trợ lý ảo đồng hành ươm mầm xanh ở Lào Cai

Trợ lý ảo đồng hành ươm mầm xanh ở Lào Cai

Tại Lào Cai, việc ứng dụng trí tuệ nhân tạo (AI) vào giáo dục mầm non đang mở ra hướng đi mới, giúp giáo viên giảm tải áp lực, đổi mới phương pháp giảng dạy và nâng cao chất lượng chăm sóc, nuôi dưỡng trẻ. Những “trợ lý ảo” không chỉ hỗ trợ chuyên môn còn góp phần tạo nên môi trường học tập sinh động, giàu trải nghiệm, đặt nền móng cho sự phát triển toàn diện của trẻ em vùng cao.

Hành trình gieo yêu thương của cô giáo Hà Thị Huyền

Hành trình gieo yêu thương của cô giáo Hà Thị Huyền

Giữa những dãy núi trùng điệp của vùng cao Lào Cai, nơi cuộc sống vẫn còn nhiều thiếu thốn, có một giáo viên lặng lẽ mang con chữ đến với học trò nghèo. Không chỉ truyền đạt tri thức, cô giáo Hà Thị Huyền còn là điểm tựa tinh thần, như người mẹ thứ hai của nhiều học sinh dân tộc thiểu số. Hành trình của cô không dừng lại ở bục giảng, còn là câu chuyện về sự hy sinh, sẻ chia và lòng nhân ái.

Tăng tính thực tiễn trong giáo dục quốc phòng - an ninh

Tăng tính thực tiễn trong giáo dục quốc phòng - an ninh

Trong bối cảnh đổi mới giáo dục, việc chuyển từ truyền thụ kiến thức sang phát triển năng lực đã trở thành yêu cầu tất yếu. Với môn Giáo dục quốc phòng - an ninh, khi tăng cường thực hành, môn học không chỉ bớt khô khan mà còn trở nên sinh động, nâng cao hiệu quả học tập của học sinh.

Cậu học trò viết ước mơ bằng tình yêu tiếng Việt

Cậu học trò viết ước mơ bằng tình yêu tiếng Việt

Trong nắng nhẹ đầu ngày, sân trường Trường Tiểu học Nguyễn Trãi (phường Yên Bái) rộn ràng hơn thường lệ. Ở ghế đá quen thuộc, cậu học trò nhỏ với đôi mắt sáng, thông minh và nụ cười hiền - Lộc Minh Khang đang say sưa trao đổi bài với bạn. Em chính là “Trạng nguyên tiếng Việt” toàn quốc năm học 2025 - 2026.

“Điểm cộng” của thầy giáo mầm non

“Điểm cộng” của thầy giáo mầm non

Từ lâu, giáo viên mầm non vốn là nghề được “đóng khung” cho nữ giới. Thế nhưng, tại Trường Mầm non Hoa Phượng, xã Trạm Tấu, trong tổng số 15 giáo viên lại có tới 3 thầy giáo. Sự hiện diện của các thầy không chỉ mang đến màu sắc mới, những giá trị riêng biệt mà còn góp phần thay đổi cách nhìn nhận, trong môi trường giáo dục mầm non, giới tính không phải là rào cản, mà tình yêu nghề, yêu trẻ mới là điều quyết định.

Bảo hiểm Y tế học sinh - bảo vệ hôm nay, vun đắp ngày mai

Bảo hiểm Y tế học sinh - bảo vệ hôm nay, vun đắp ngày mai

Trong bối cảnh nguy cơ dịch bệnh, tai nạn học đường vẫn hiện hữu, bảo hiểm y tế (BHYT) học sinh đang trở thành điểm tựa quan trọng, góp phần bảo vệ sức khỏe và đảm bảo hành trình học tập liên tục cho thế hệ trẻ. Tại các trường học vùng cao, bằng những cách làm linh hoạt, sát thực tiễn, chính sách BHYT đã được triển khai hiệu quả, từng bước đi vào chiều sâu, tạo sự đồng thuận trong phụ huynh và xã hội.

Hội thảo nâng cao chất lượng dạy học tiếng Trung Quốc trong các trường phổ thông vùng biên giới

Hội thảo nâng cao chất lượng dạy học tiếng Trung Quốc trong các trường phổ thông vùng biên giới

Chiều 24/4, tại Trường THPT Chuyên Lào Cai, Sở Giáo dục và Đào tạo (GD&ĐT) tỉnh Lào Cai tổ chức Hội thảo "Nâng cao chất lượng dạy học tiếng Trung Quốc trong các trường phổ thông vùng biên giới" nhằm bàn giải pháp triển khai hiệu quả Đề án "Tăng cường dạy và học ngoại ngữ giai đoạn 2025 - 2035, định hướng đến năm 2045".

 Gặp những tay vợt vàng tuổi thiếu niên

Gặp những tay vợt vàng tuổi thiếu niên

Ba tấm Huy chương Vàng tại Giải Cầu lông thanh thiếu niên, nhi đồng tỉnh Lào Cai năm 2026 đã đưa Hà Giang, Mạnh Cường và Bảo Khánh trở thành những “tay vợt vàng” tiêu biểu của thể thao học đường Lục Yên. Thành tích ấn tượng này góp phần lan tỏa nguồn cảm hứng tích cực tới thế hệ trẻ trên hành trình theo đuổi đam mê.

Nâng cao chất lượng công tác nuôi dưỡng, chăm sóc trẻ mầm non

Nâng cao chất lượng công tác nuôi dưỡng, chăm sóc trẻ mầm non

Ngày 24/4, Sở Giáo dục và Đào tạo tỉnh Lào Cai tổ chức Hội thảo "Nâng cao chất lượng công tác nuôi dưỡng, chăm sóc trẻ mầm non", nhằm đánh giá thực trạng, chia sẻ kinh nghiệm và thống nhất giải pháp, nâng cao hiệu quả quản lý, tổ chức thực hiện chăm sóc, nuôi dưỡng trẻ trong các cơ sở giáo dục mầm non trên địa bàn tỉnh.

Gỡ khó về cơ sở vật chất, nâng cao chất lượng giáo dục

Trường Tiểu học và Trung học cơ sở An Bình: Gỡ khó về cơ sở vật chất, nâng cao chất lượng giáo dục

Thời gian qua, Trường Tiểu học và Trung học cơ sở (THCS) An Bình (xã Đông Cuông) đối mặt với không ít khó khăn về cơ sở vật chất, từ phòng học xuống cấp, thiếu phòng chức năng đến trang thiết bị dạy học chưa đáp ứng yêu cầu. Thực trạng này đặt ra yêu cầu cấp thiết về đầu tư, nâng cấp nhằm bảo đảm điều kiện dạy và học.

fb yt zl tw